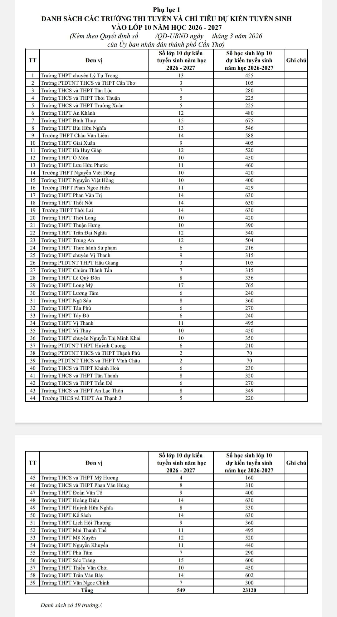
Năm học này, kế hoạch tuyển sinh đầu cấp TP Cần Thơ có nhiều điểm mới sau sáp nhập địa giới hành chính và chính quyền địa phương hai cấp. Đặc biệt ở kỳ tuyển sinh lớp 10 năm nay, lần đầu áp dụng cả hai phương thức là thi tuyển và xét tuyển. Sở Giáo dục và Đào tạo đã công bố danh sách các trường thực hiện thi tuyển và xét tuyển, với tổng cộng 91 trường tham gia.
Kỳ thi tuyển sinh từ ngày 28 đến 30-6, riêng các trường thi môn chuyên kéo dài đến ngày 1-7. TP Cần Thơ có 3 trường chuyên: Trường THPT chuyên Lý Tự Trọng tuyển sinh 13 lớp chuyên; Trường THPT chuyên Nguyễn Thị Minh Khai tuyển sinh 10 lớp chuyên; và Trường THPT chuyên Vị Thanh tuyển sinh 9 lớp chuyên.

Ngoài ra, TP Cần Thơ cũng thực hiện xét tuyển 100% học sinh thuộc đối tượng tuyển sinh trung học cơ sở vào học lớp 6 trên cơ sở đảm bảo các quy định của trường. Điểm chuẩn cao nhất trúng tuyển lớp 10 thuộc về Trường THPT Thực hành Sư phạm - Trường đại học Cần Thơ với 38,9 điểm.
Kết luận: Kỳ thi lớp 10 TP Cần Thơ năm nay có nhiều thay đổi đáng chú ý, đặc biệt là việc áp dụng đồng thời cả hai phương thức thi tuyển và xét tuyển. Các quy định mới này sẽ giúp tạo ra một môi trường công bằng hơn cho học sinh trong quá trình đăng ký vào các trường THPT.
Năm nay, kỳ thi tuyển sinh lớp 10 TP Cần Thơ còn có thêm nhiều điểm nhấn đáng chú ý. Đầu tiên là việc tổ chức thi môn chuyên kéo dài đến ngày 1-7, nhằm đảm bảo tính công bằng và chất lượng cho các thí sinh đăng ký vào các trường THPT chuyên. Các trường chuyên như Trường THPT chuyên Lý Tự Trọng tuyển sinh 13 lớp chuyên, Trường THPT chuyên Nguyễn Thị Minh Khai tuyển sinh 10 lớp chuyên, và Trường THPT chuyên Vị Thanh tuyển sinh 9 lớp chuyên. Điều này cho thấy sự đầu tư lớn của TP Cần Thơ vào giáo dục chất lượng cao.

Thứ hai, việc áp dụng đồng thời cả hai phương thức thi tuyển và xét tuyển tạo ra nhiều lựa chọn hơn cho thí sinh. Bên cạnh đó, quy định về số nguyện vọng đăng ký cũng được mở rộng, từ 3 nguyện vọng như trước đây lên thành tối đa 4 nguyện vọng, giúp học sinh có thêm cơ hội trúng tuyển vào các trường THPT công lập, THPT chuyên và phổ thông dân tộc nội trú.
Ngoài ra, TP Cần Thơ còn chú trọng đến việc đảm bảo chất lượng giáo dục cho học sinh tiểu học. Theo đó, kỳ thi xét tuyển đầu cấp lớp 6 sẽ được thực hiện 100% đối với học sinh thuộc đối tượng tuyển sinh trung học cơ sở vào học lớp 6 trên cơ sở đảm bảo các quy định của trường. Điều này không chỉ giúp tạo điều kiện cho tất cả học sinh trong độ tuổi đến trường, mà còn góp phần nâng cao chất lượng giáo dục toàn diện.
Điểm chuẩn cao nhất trúng tuyển lớp 10 thuộc về Trường THPT Thực hành Sư phạm - Trường đại học Cần Thơ với 38,9 điểm. Đây là một tiêu chí quan trọng để đánh giá chất lượng giáo dục và sự cạnh tranh trong quá trình tuyển sinh.
Cuối cùng, việc áp dụng đồng thời cả hai phương thức thi tuyển và xét tuyển không chỉ tạo ra nhiều cơ hội cho thí sinh mà còn giúp nâng cao tính công bằng và minh bạch trong quy trình tuyển sinh. Đây là một bước tiến quan trọng của TP Cần Thơ nhằm đảm bảo quyền lợi tối đa cho học sinh và phụ huynh.
Tóm lại, kỳ thi lớp 10 TP Cần Thơ năm nay không chỉ mang lại nhiều thay đổi đáng chú ý mà còn thể hiện sự đầu tư lớn vào giáo dục chất lượng cao. Các quy định mới này sẽ góp phần tạo ra một môi trường học tập công bằng và toàn diện hơn cho học sinh trong tương lai.
Theo bài viết của XU HƯỚNG 24
Bình luận