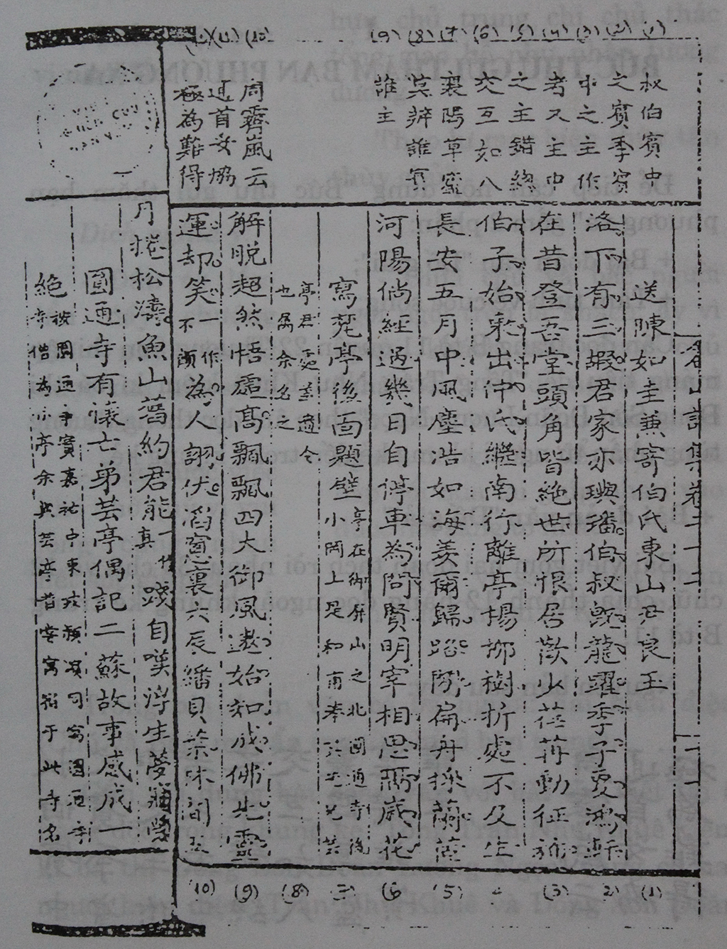
Miên Thẩm là thi hào lừng danh thời Nguyễn, được vua Tự Đức tán tụng với câu thơ: 'Văn như Siêu, Quát vô Tiền Hán. Thi đáo Tùng, Tuy thất Thịnh Đường'. Bài thơ in ở trang B, tờ 11, quyển 22 của bộ Thương Sơn thi tập do Trần Như Khuê kiêm ký bá thị Đông Sơn Doãn Lương Ngọc sáng tác. Bài thơ này có 100 chữ, nhưng trong cùng trang in bài thơ này, có bài đoản văn dài 42 chữ ở phía trên và bài dẫn dài 95 chữ ở phía cuối. Trần Như Thổ coi bài đoản văn và bài dẫn là 'chìa khóa' để giải mã những ẩn ý trong bài thơ, cũng như 'phương tiện' để khám phá nghi án 'vua Tự Đức là con của ai?'. Ông dịch đoạn bên trái: 'Chu tể lam vân dật thủ. Thỏa hiệp cực vị nan đắc', có nghĩa là 'Đầu óc lầm lẫn đầy chướng khí này mong được xua tan sạch hết thảy. Đạt được việc khó nhờ quý vị vui lòng cùng nhau hết sức giúp cho'. Để hiểu rõ hơn về họ, hãy tìm hiểu qua bài thơ ở trung tâm: 'Lạc hạ hữu tam hỗ. Quân gia diệc Dư Phiên. Bá thúc ký long dược. Quý tử cánh hồng hiên. Tại tích đăng ngô đường. Đầu giác giai tuyệt thế. Sở hận cư hoan thiểu. Nhẫm nhiệm động chinh bái. Bá tử thủy Đông xuất. Trọng thị kế Nam hành. Ly đình dương liễu thụ. Chiết xứ bất cập sinh. Trường An ngũ nguyệt trung. Phong trần hạo như hải. Tiện nhĩ quy lộ nhàn. Thiên chu thải lan chỉ. Hà dương thảng kinh quá. Kỷ nhật tự đình xa. Vị vấn hiền minh tể. Tương tư cách tuế hoa'. Trần Như Thổ dịch: 'Cuối dòng Lạc có ba sự phúc. Ngai vàng cùng ấn ngọc tôn nghiêm. Thứ, trưởng qua hai lượt chuyển quyền. Con nhỏ lớn cao thêm nối đức. Nhớ ngày trước lên thăm nhà tôi. Trí, lực cả hai đều hơn đời. Tiếc bạn ở chơi vui quá ít. Thoắt đưa, chinh chiến đến nơi rồi! Thoạt đầu con lớn hướng ra Đông. Tiếp bước chân, con thứ vào Nam. "Trạm tiễn" giơ cao cành liễu vẫy. Gãy cành, cây chẳng kịp hồi sinh. Trong năm tháng khắp chốn kinh đô. Gió bụi tung trời như biển xô. Mong bạn đường về mau nhẹ bước. Hái đầy thuyền nhỏ cỏ hương, hoa! Nếu ngang qua nơi ấy Hà Dương. Hãy dừng xe để mấy ngày đường. Tìm hỏi thăm giùm quan sở tại. Nhớ mong Người xa đã mấy năm'. Ông cũng cho rằng bài dẫn ở cuối bài thơ 'Tống Trần Như Khuê kiêm ký bá thị Đông Sơn Doãn Lương Ngọc' cho biết: 'Mọi việc thấy vậy mà không phải vậy', vì ba người được nhắc đến trong bài đoản văn, chính là những người liên quan đến nghi án 'vua Tự Đức là con của ai? Họ chính là: Trương Đăng Quế, vua Tự Đức và hoàng trưởng tử Hồng Bảo, anh ruột của vua'.
Trần Như Thổ cho rằng bài thơ của Miên Thẩm không chỉ là một tác phẩm văn học quý giá mà còn chứa đựng những thông tin bí ẩn liên quan đến lịch sử triều Nguyễn. Ông phân tích, trong bài đoản văn trên cùng trang, có ghi: 'Chủ khách đồng ngồi, chủ nâng lên, vị trí lầm lẫn để chơi cờ'. Đây được coi là lời giải thích cho cách thức vua Tự Đức và hoàng trưởng tử Hồng Bảo đã hợp tác để che giấu sự thật về nguồn gốc của mình. Bài thơ chính cũng chứa đựng nhiều ẩn ý, ví dụ như 'Lạc hạ hữu tam hỗ' có thể ám chỉ ba người quan trọng trong câu chuyện này.

Trần Như Thổ nhấn mạnh rằng việc hiểu rõ bài thơ và bài dẫn sẽ giúp giải mã những bí mật lịch sử chưa được sáng tỏ. Ông cho rằng, thông qua phân tích chi tiết từng câu chữ, có thể tìm ra manh mối về sự thật đằng sau nghi án vua Tự Đức là con của ai. Bài thơ không chỉ là một tác phẩm nghệ thuật mà còn là một bản đồ hướng dẫn để khám phá những bí ẩn lịch sử.
Để làm rõ hơn, ông đưa ra giả thuyết rằng 'Chu tể lam vân dật thủ' có thể ám chỉ sự lừa dối và che giấu thông tin. Trong khi đó, 'Lạc hạ hữu tam hỗ' có thể liên quan đến ba nhân vật chính: Trương Đăng Quế (chủ), vua Tự Đức (khách) và hoàng trưởng tử Hồng Bảo (con nhỏ). Ông cho rằng việc chuyển quyền lực giữa hai vị này là một yếu tố quan trọng trong câu chuyện.

Bài thơ còn chứa đựng nhiều hình ảnh về cuộc sống triều đình, như 'Trạm tiễn giơ cao cành liễu vẫy', thể hiện sự chia ly và hy vọng. 'Hà dương thảng kinh quá' cũng ám chỉ việc vua Tự Đức đã rời xa quê hương để lên ngôi, trong khi 'Kỷ nhật tự đình xa' cho thấy sự nhớ nhung của ông với nơi sinh.
Qua phân tích này, Trần Như Thổ mong rằng sẽ có thể tìm ra manh mối về sự thật lịch sử và giải mã những bí ẩn còn tồn đọng.
Theo bài viết của XU HƯỚNG 24
Bình luận